alunos:2012:mawade:exp-dens-dep-estrut.jpg

exp-dens-dep-estrut.jpg

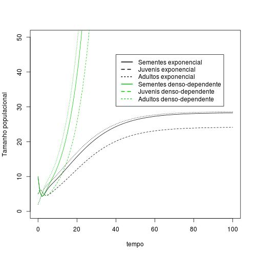
VIII) MODELOS MATRICIAIS DE DINÂMICA DE POPULAÇÕES ESTRUTURADAS

Data::
2024/01/09 18:19
Nome do arquivo::
exp-dens-dep-estrut.jpg
Formato::
JPEG
Tamanho::
24KB